Day 8: Model Uncertainty Estimation
Wouldn't it be nice if the model also told us which predictions are not reliable? Can this be done even on unseen data? The good news is yes, and even on new, completely unseen data. It is also simple to implement in practice. A canonical example is in a medical setting. By measuring model uncertainty, the doctor can learn how reliable is their AI-assisted patient's diagnosis. This allows the doctor to make a better informed decision whether to trust the model or not. And potentially save someone's life.
Today we build upon Day 7 and we continue our journey with Hasktorch:
- We will introduce a Dropout layer.
- We will compute on a graphics processing unit (GPU).
- We will also show how to load and save models.
- We will train with Adam optimizer.
- And finally we will talk about model uncertainty estimation.
The complete project is also available on Github.
Dropout Layer
Neural networks, as any other model with many parameters, tend to overfit. By overfitting I mean "fail to fit to additional data or predict future observations reliably". Let us consider a classical example below.
Overfitting.
Overfitting. Credit Ignacio Icke, CC BY-SA 4.0
The green line is a decision boundary created by an overfitted model. We see that the model tries to memorize every possible data point. However, it fails to generalize. To ameliorate the situation, we perform a so-called regularization. That is a technique that helps to prevent overfitting. In the image above, the black line is a decision boundary of a regularized model.
One of regularization techniques for artificial neural networks is called dropout or dilution. Its principle of operation is quite simple. During neural network training, we randomly disconnect a fraction of neurons with some probability. It turns out that dropout conditioning results in more reliable neural network models.
A Neural Network with Dropout
The data structures MLP (learnable parameters) and MLPSpec (number of neurons) remain unchanged. However, we will need to modify the mlp function (full network) to include a Dropout layer. If we inspect dropout :: Double -> Bool -> Tensor -> IO Tensor type, we see that it accepts three arguments: a Double probability of dropout, a Bool that turns this layer on or off, and a data Tensor. Typically, we turn the dropout on during the training and off during the inference stage.
However, the biggest distinction between e.g. relu function and dropout is that relu :: Tensor -> Tensor is a pure function, i.e. it does not have any 'side-effects'. This means that every time when we call a pure function, the result will be the same. This is not the case with dropout that relies on an (external) random number generator, and therefore returns a new result each time. Therefore, its outcome is an IO Tensor.
One has to pay a particular attention to those IO functions, because they can change the state in the external world. This can be printing text on the screen, deleting a file, or launching missiles. Typically, we prefer to keep functions pure whenever possible, as function purity improves the reasoning about the program: It is a child's play to refactor (reorganize) a program consisting only of pure functions.
I find the so-called do-notation to be the most natural way to combine both pure functions and those with side-effects. The pure equations can be grouped under let keyword(s), while the side-effects are summoned with a special <- glue. This is how we integrate dropout in mlp. Note that now the outcome of mlp also becomes an IO Tensor.
mlp :: MLP -> Bool -> Tensor -> IO Tensor
mlp MLP {..} isStochastic x0 = do
-- This subnetwork encapsulates the composition
-- of pure functions
let sub1 =
linear fc1
~> relu
~> linear fc2
~> relu
-- The dropout is applied to the output
-- of the subnetwork
x1 <- dropout
0.1 -- Dropout probability
isStochastic -- Activate Dropout when in stochastic mode
(sub1 x0) -- Apply dropout to
-- the output of `relu` in layer 2
-- Another linear layer
let x2 = linear fc3 x1
-- Finally, logSoftmax, which is numerically more stable
-- compared to simple log(softmax(x2))
return $ logSoftmax (Dim 1) x2
For model uncertainty estimation, it is empirically recommended to keep the dropout probability anywhere between 0.1 and 0.2.
Computing on a GPU
To transfer data onto a GPU, we use toDevice :: ... => Device -> a -> a. Below are helper methods to traverse data structures containing tensors (e.g. MLP) to convert those between devices.
toLocalModel :: forall a. HasTypes a Tensor => Device -> DType -> a -> a
toLocalModel device' dtype' = over (types @Tensor @a) (toDevice device')
fromLocalModel :: forall a. HasTypes a Tensor => a -> a
fromLocalModel = over (types @Tensor @a) (toDevice (Device CPU 0))
Below is a shortcut to transfer data to cuda:0 device, assuming the Float type.
toLocalModel' = toLocalModel (Device CUDA 0) Float
The train loop is almost the same as in the previous post, except a few changes. First, we convert training data to GPU with toLocalModel' (assuming that the model itself was already converted to GPU). Second, predic <- mlp model isTrain input is an IO action. Third, we manage optimizer's internal state1.
trainLoop
:: Optimizer o
=> (MLP, o) -> LearningRate -> ListT IO (Tensor, Tensor) -> IO (MLP, o)
trainLoop (model0, opt0) lr = P.foldM step begin done. enumerateData
where
isTrain = True
step :: Optimizer o => (MLP, o) -> ((Tensor, Tensor), Int) -> IO (MLP, o)
step (model, opt) args = do
let ((input, label), iter) = toLocalModel' args
predic <- mlp model isTrain input
let loss = nllLoss' label predic
-- Print loss every 100 batches
when (iter `mod` 100 == 0) $ do
putStrLn
$ printf "Batch: %d | Loss: %.2f" iter (asValue loss :: Float)
runStep model opt loss lr
done = pure
begin = pure (model0, opt0)
We also modify the train function to use Adam optimizer with mkAdam:
- 0 is the initial iteration number (then internally increased by the optimizer).
- We provide beta1 and beta2 values.
- flattenParameters net0 are needed to get the shapes of the trained parameters momenta. See also Day 2 for more details.
train :: V.MNIST IO -> Int -> MLP -> IO MLP
train trainMnist epochs net0 = do
(net', _) <- foldLoop (net0, optimizer) epochs $ \(net', optState) _ ->
runContT (streamFromMap dsetOpt trainMnist)
$ trainLoop (net', optState) lr. fst
return net'
where
dsetOpt = datasetOpts workers
workers = 2
lr = 1e-4 -- Learning rate
optimizer = mkAdam 0 beta1 beta2 (flattenParameters net0)
beta1 = 0.9
beta2 = 0.999
Here is a function to get model accuracy:
accuracy :: MLP -> ListT IO (Tensor, Tensor) -> IO Float
accuracy net = P.foldM step begin done. enumerateData
where
step :: (Int, Int) -> ((Tensor, Tensor), Int) -> IO (Int, Int)
step (ac, total) args = do
let ((input, labels), _) = toLocalModel' args
-- Compute predictions
predic <- let stochastic = False
in argmax (Dim 1) RemoveDim
<$> mlp net stochastic input
let correct = asValue
-- Sum those elements
$ sumDim (Dim 0) RemoveDim Int64
-- Find correct predictions
$ predic `eq` labels
let batchSize = head $ shape predic
return (ac + correct, total + batchSize)
-- When done folding, compute the accuracy
done (ac, total) = pure $ fromIntegral ac / fromIntegral total
-- Initial errors and totals
begin = pure (0, 0)
testAccuracy :: V.MNIST IO -> MLP -> IO Float
testAccuracy testStream net = do
runContT (streamFromMap (datasetOpts 2) testStream) $ accuracy net. fst
Below we provide the MLP specification: number of neurons in each layer.
spec = MLPSpec 784 300 50 10
Saving and Loading the Model
Before we can save the model, we have to make the weight tensors dependent first:
save' :: MLP -> FilePath -> IO ()
save' net = save (map toDependent. flattenParameters $ net)
The inverse is true for model loading. We also replace parameters in a newly generated model with the one we have just loaded:
load' :: FilePath -> IO MLP
load' fpath = do
params <- mapM makeIndependent <=< load $ fpath
net0 <- sample spec
return $ replaceParameters net0 params
Load the MNIST data:
(trainData, testData) <- initMnist "data"
Train a new model:
-- A train "loader"
trainMnistStream = V.MNIST { batchSize = 256, mnistData = trainData }
net0 <- toLocalModel' <$> sample spec
epochs = 5
net' <- train trainMnistStream epochs net0
Saving the model:
save' net' "weights.bin"
To load a pretrained model:
net <- load' "weights.bin"
We can verify the model's accuracy:
-- A test "loader"
testMnistStream = V.MNIST { batchSize = 1000, mnistData = testData }
ac <- testAccuracy testMnistStream net
putStrLn $ "Accuracy " ++ show ac
Accuracy 0.9245
The accuracy is not tremendous, but it can be improved by introducing batch norm, convolutional layers, and training longer. We are about to discuss model uncertainty estimation and this accuracy is good enough.
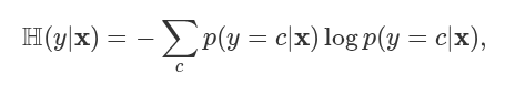
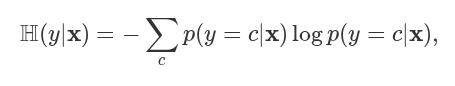
Predictive Entropy
Model uncertainties are obtained as:

where y is label, x – input image, c – class, p – probability. We call H predictive entropy. And it is the very dropout technique that helps us to estimate those uncertainties. All we need to do is to collect several predictions in the stochastic mode (i.e. dropout enabled) and apply the formula from above.
predictiveEntropy :: Tensor -> Float
predictiveEntropy predictions =
let epsilon = 1e-45
a = meanDim (Dim 0) RemoveDim Float predictions
b = Torch.log $ a + epsilon
in asValue $ negate $ sumAll $ a * b
Visualizing Softmax Predictions
To get a better feeling what model outputs look like, it would be nice to visualize the softmax output as a histogram or a bar chart. For instance
bar ["apples", "oranges", "kiwis"] [50, 100, 25]
apples ▉▉▉▉▉▉▉▉▉▉▉▉▉▉▉▉▉▉▉▉▉▉▉▉▉ 50.00
oranges ▉▉▉▉▉▉▉▉▉▉▉▉▉▉▉▉▉▉▉▉▉▉▉▉▉▉▉▉▉▉▉▉▉▉▉▉▉▉▉▉▉▉▉▉▉▉▉▉▉▉ 100.00
kiwis ▉▉▉▉▉▉▉▉▉▉▉▉▋ 25.00
Now, we would like to display an image, the predictive entropy, and the softmax output, followed by prediction and ground truth. To transform logSoftmax into softmax, we use the following identity:
that is softmax = exp. logSoftmax.
displayImage :: MLP -> (Tensor, Tensor) -> IO ()
displayImage model (testImg, testLabel) = do
let repeatN = 20
stochastic = True
preds <- forM [1..repeatN] $ \_ -> exp -- logSoftmax -> softmax
<$> mlp model stochastic testImg
pred0 <- mlp model (not stochastic) testImg
let entropy = predictiveEntropy $ Torch.cat (Dim 0) preds
-- Select only the images with high entropy
when (entropy > 0.9) $ do
V.dispImage testImg
putStr "Entropy "
print entropy
-- exp. logSoftmax = softmax
bar (map show [0..9]) (asValue $ flattenAll $ exp pred0 :: [Float])
putStrLn $ "Model : " ++ (show. argmax (Dim 1) RemoveDim. exp $ pred0)
putStrLn $ "Ground Truth : " ++ show testLabel
Note that below we show only some of those images the model is uncertain about (entropy > 0.9)
testMnistStream = V.MNIST {batchSize = 1, mnistData = testData}
forM_ [0 .. 200] $ displayImage (fromLocalModel net) <=< getItem testMnistStream
+%
%
*
#- +%%=
% %% %
% %+ #
% % *
% % :%
#*:=%#
-%=.
Entropy 1.044228
0 ▉▏ 0.01
1 ▏ 0.00
2 ▋ 0.01
3 ▏ 0.00
4 ▉ 0.01
5 ▍ 0.00
6 ▉▉▉▉▉▉▉▉▉▉▉▉▉▉▉▉▉▉▉▉▉▉▉▉▉▉▉▉▉▉▉▉▉▉▉▉▉▉▉▉▉▉▉▉▉▉▉▉▉▉ 0.70
7 ▏ 0.00
8 ▉▉▉▉▉▉▉▉▉▉▉▉▉▉▉▎ 0.21
9 ▉▉▉▋ 0.05
Model : Tensor Int64 [1] [ 6]
Ground Truth : Tensor Int64 [1] [ 6]
.#%#.
%%+:
%
%..
##-#%.
-%
:%
+
- .%
@%+*%%+
Entropy 1.2909155
0 ▏ 0.00
1 ▏ 0.00
2 ▍ 0.00
3 ▉▉▉▉▉▉▉▉ 0.07
4 ▏ 0.00
5 ▉▉▉▉▉▉▉▉▉▉▉▉▉▉▉▉▉▉▉▉▉▉▉▉▉▉▉▉▉▉▉▉▉▉▉▉▉▉▉▉▉▉▉▉▉▉▉▍ 0.44
6 ▏ 0.00
7 ▍ 0.00
8 ▉▉▉▉▉▉▉▉▉▉▉▉▉▉▉▉▉▉▉▉▉▉▉▉▉▉▉▉▉▉▉▉▉▉▉▉▉▉▉▉▉▉▉▉▉▉▉▉▉▉ 0.47
9 ▉▏ 0.01
Model : Tensor Int64 [1] [ 8]
Ground Truth : Tensor Int64 [1] [ 5]
=- =
#- =#
%- #
+% %
%. .%
## .*
%%%%%#%#.
. %
Entropy 1.3325933
0 ▉▉▉▉▉▉▉▉▉▉▉▉▉▉▉▉▉▉▉▉▎ 0.19
1 ▏ 0.00
2 ▏ 0.00
3 ▏ 0.00
4 ▉▉▉▉▉▉▉▉▉▉▉▉▉▉▉▉▉▉▉▉▉▉▉▉▉▉▉▉▉▉▉▉▉▉▉▉▉▉▉▉▉▉▉▉▉▉▉▉▉▉ 0.46
5 ▉▉▉▉▉▉▉▉▉▉▉▉▉▉▉▉▉▉▉▊ 0.18
6 ▉▉▉▉▉▉▉▉▉▉▉▉▉▉▉▉▉▊ 0.16
7 ▏ 0.00
8 ▏ 0.00
9 ▏ 0.00
Model : Tensor Int64 [1] [ 4]
Ground Truth : Tensor Int64 [1] [ 4]
*:
:%%*
#- -+
-
#
+:
# =.
#. =%:
*.*%-
#%%:
Entropy 1.2533671
0 ▉ 0.01
1 ▉▉▍ 0.03
2 ▉▉▉▉▉▉▉▉▉▉▉▉▉▉▉▉▉▉▉▉▉▉▉▉▉▉▉▉▉▉▉▉▉▉▉▏ 0.38
3 ▉▉▉▉▉▉▉▉▉▉▉▉▉▉▉▉▉▉▉▉▉▉▉▉▉▉▉▉▉▉▉▉▉▉▉▉▉▉▉▉▉▉▉▉▉▉▉▉▉▉ 0.54
4 ▏ 0.00
5 ▋ 0.01
6 ▏ 0.00
7 ▏ 0.00
8 ▉▉▋ 0.03
9 ▏ 0.00
Model : Tensor Int64 [1] [ 3]
Ground Truth : Tensor Int64 [1] [ 2]
+##-
* :
=
% =
% %
-= @
= %
%
%
%
Entropy 0.9308149
0 ▏ 0.00
1 ▏ 0.00
2 ▏ 0.00
3 ▉ 0.01
4 ▉▉▉▉▉▉▉▉▉▉▉▉▉▉▉▉▉▉▉▉▉▉▏ 0.29
5 ▍ 0.00
6 ▏ 0.00
7 ▎ 0.00
8 ▉▎ 0.02
9 ▉▉▉▉▉▉▉▉▉▉▉▉▉▉▉▉▉▉▉▉▉▉▉▉▉▉▉▉▉▉▉▉▉▉▉▉▉▉▉▉▉▉▉▉▉▉▉▉▉▉ 0.67
Model : Tensor Int64 [1] [ 9]
Ground Truth : Tensor Int64 [1] [ 9]
#
% #
% *
% =
%%@%
* %
%
%
%
=
Entropy 1.39582
0 ▏ 0.00
1 ▉▍ 0.01
2 ▏ 0.00
3 ▉▉▉▉▉▊ 0.06
4 ▉▉▉▉▉▉▉▉▉▉▉▉▉▉▉▉▉▉▉▉▉▉▉▉▉▉▉▉▉▉▉▉▉▉▉▉▉▉▉▉▉▉▉▉▉▉▉▉▉▉ 0.48
5 ▉▉▉▉▉▉▉▉▉▉▉▉▉▉▉▉▉▋ 0.17
6 ▉▉▉▉ 0.04
7 ▏ 0.00
8 ▉▋ 0.02
9 ▉▉▉▉▉▉▉▉▉▉▉▉▉▉▉▉▉▉▉▉▉▉▉▏ 0.22
Model : Tensor Int64 [1] [ 4]
Ground Truth : Tensor Int64 [1] [ 4]
.#%@
%%%%=
+%. %#
%%%%:
%%%
-%%
-%%
.%%
%%-
%*
Entropy 1.0009595
0 ▏ 0.00
1 ▏ 0.00
2 ▏ 0.00
3 ▉▊ 0.02
4 ▏ 0.00
5 ▎ 0.00
6 ▏ 0.00
7 ▉▉▉▉▉▉▉▉▉▉▉▉▉▉▉▉▉▉▉▉▉▉▉▉▉▉▉▉▏ 0.35
8 ▉ 0.01
9 ▉▉▉▉▉▉▉▉▉▉▉▉▉▉▉▉▉▉▉▉▉▉▉▉▉▉▉▉▉▉▉▉▉▉▉▉▉▉▉▉▉▉▉▉▉▉▉▉▉▉ 0.62
Model : Tensor Int64 [1] [ 9]
Ground Truth : Tensor Int64 [1] [ 9]
%##%
:%+%%.
-% %:
-% %+
+ %+
%+
%+
%#
%%
.+
Entropy 1.0057298
0 ▏ 0.00
1 ▏ 0.00
2 ▏ 0.00
3 ▏ 0.00
4 ▏ 0.00
5 ▉▉▍ 0.03
6 ▏ 0.00
7 ▉▉▉▉▉▉▉▉▉▉▉▉▉▉▉▉▉▉▉▉▉▉▉▉▉▉▎ 0.33
8 ▏ 0.00
9 ▉▉▉▉▉▉▉▉▉▉▉▉▉▉▉▉▉▉▉▉▉▉▉▉▉▉▉▉▉▉▉▉▉▉▉▉▉▉▉▉▉▉▉▉▉▉▉▉▉▉ 0.63
Model : Tensor Int64 [1] [ 9]
Ground Truth : Tensor Int64 [1] [ 7]
%%%%%
.%
%.
=%%%+
% %# -
%%.
*%-
%:%
%-%=
%%-
Entropy 1.0500848
0 ▉▉▉▉▍ 0.07
1 ▎ 0.00
2 ▎ 0.00
3 ▉▉▉▉▉▉▉▉▉▉▉▉▉▉▉▉▉▉▉▉▉▉▉▉▉▉▉▉▉▉▉▉▉▉▉▉▉▉▉▉▉▉▉▉▉▉▉▉▉▉ 0.79
4 ▉▉▊ 0.04
5 ▉▉▉▎ 0.05
6 ▏ 0.00
7 ▍ 0.01
8 ▎ 0.00
9 ▉▊ 0.03
Model : Tensor Int64 [1] [ 3]
Ground Truth : Tensor Int64 [1] [ 3]
:*
%
%%
:%
%*
+*
%
%
%
=
Entropy 1.590256
0 ▏ 0.00
1 ▉▉▉▉▉▉▉▉▉▉▉▉▉▉▉▉▉▉▉▉▉▉▉▉▉▉▉▉▉▉▉▉▉▉▉▉▉▉▉▉▉▉▉▉▉▉▉▉▉▉ 0.36
2 ▏ 0.00
3 ▉▉▉▉▉▉▉▉▉▉▉▉▉▉ 0.10
4 ▉▉▉▉▉▉▉▉▉▉▉▉▉▉▉▉▉▉▉▉▉▉▉▉▉▉▉▉▉▉▉▉▉▉▉▉▉▉▉▉▉▉▉▉▏ 0.32
5 ▉▉▉▎ 0.02
6 ▏ 0.00
7 ▎ 0.00
8 ▉▉▉▉▉▉▉▉▉▉▉▉▉▉▉▉▉▏ 0.12
9 ▉▉▉▉▉▉▉▉▉▉▍ 0.07
Model : Tensor Int64 [1] [ 1]
Ground Truth : Tensor Int64 [1] [ 1]
= =
%%%%%.
:%%
%*
.%%%%%%%%+
%%%*:
%%
%%
%%
%%
Entropy 0.9592192
0 ▏ 0.00
1 ▉▉▉▉▉▉▉▉▉▉▉▉▉▉▉▉▉▉▉▉▊ 0.28
2 ▋ 0.01
3 ▍ 0.00
4 ▏ 0.00
5 ▏ 0.00
6 ▍ 0.01
7 ▉▉▉▉▉▉▉▉▉▉▉▉▉▉▉▉▉▉▉▉▉▉▉▉▉▉▉▉▉▉▉▉▉▉▉▉▉▉▉▉▉▉▉▉▉▉▉▉▉▉ 0.67
8 ▏ 0.00
9 ▉▉▏ 0.03
Model : Tensor Int64 [1] [ 7]
Ground Truth : Tensor Int64 [1] [ 7]
=%#*
:%%- .#
%% :%
.% #=
%
%%#
-%%%%
%%%.%
#% *+
:
Entropy 1.0005924
0 ▍ 0.00
1 ▏ 0.00
2 ▉▉▉▉▉▉▉▉▉▉▉▉▉▉▉▉▉▉▉▉▉▉▉▉▉▉▉▉▉▉▉▉▉▉▉▉▉▉▉▉▉▉▉▉▉▉▉▉▉▉ 0.48
3 ▏ 0.00
4 ▏ 0.00
5 ▏ 0.00
6 ▏ 0.00
7 ▉▉▉▉▉▉▉▉▉▉▉▉▉▉▉▉▉▉▉▉▉▉▉▉▉▉▉▉▉▉▉▉▉▉▉▉▉▉▉▉▉▉▉▉▉▉▉▉▉▎ 0.47
8 ▉▉▉▋ 0.03
9 ▉▎ 0.01
Model : Tensor Int64 [1] [ 2]
Ground Truth : Tensor Int64 [1] [ 2]
-
:%%%-
:% %
+: :%-
-% *%
*: %*
== *%
* :%
#::..:*%%
:%*%%-:
Entropy 1.3647958
0 ▉▉▉▉▉▉▉▉▉▉▉▉▉▉▉▉▉▉▉▉▉▉▉▉▉▉▉▉▉▉▉▉▉▉▉▉▉▉▉▉▉▉▉▉▉▉▉▉▉▉ 0.50
1 ▏ 0.00
2 ▉▉▉▉▉▉▉▉▉▉▉▉▉▉▉▉▉▉▉▉▉▉▉▏ 0.23
3 ▉▉▉▉▉▉▉▉▉▉▉▉▉▉▉▉▉▉▉▉▉▉▉ 0.23
4 ▏ 0.00
5 ▉▉▉▏ 0.03
6 ▏ 0.00
7 ▏ 0.00
8 ▏ 0.00
9 ▉▍ 0.01
Model : Tensor Int64 [1] [ 0]
Ground Truth : Tensor Int64 [1] [ 0]
%-
:%
#
-%#%*
:: @%.
* % #.
%% %
%
%
Entropy 1.1518966
0 ▉▉▉▎ 0.06
1 ▍ 0.01
2 ▊ 0.01
3 ▏ 0.00
4 ▉▉▊ 0.05
5 ▏ 0.00
6 ▏ 0.00
7 ▏ 0.00
8 ▍ 0.01
9 ▉▉▉▉▉▉▉▉▉▉▉▉▉▉▉▉▉▉▉▉▉▉▉▉▉▉▉▉▉▉▉▉▉▉▉▉▉▉▉▉▉▉▉▉▉▉▉▉▉▉ 0.86
Model : Tensor Int64 [1] [ 9]
Ground Truth : Tensor Int64 [1] [ 2]
=%%%%+
.#. =#%
%* %#
#. .%
.# *%:
.%%%- =
#
#
-%% =%
=%%#
Entropy 1.1256037
0 ▉▊ 0.02
1 ▏ 0.00
2 ▉▉▉▉▉▉▉▉▉▉▉▉▉▉▉▉▉▉▉▉▉▉▉▉▏ 0.29
3 ▎ 0.00
4 ▏ 0.00
5 ▏ 0.00
6 ▏ 0.00
7 ▏ 0.00
8 ▉▉▉▉▉▉▉▉▉▉▉▉▉▉▉▉▉▉▉▉▉▉▉▉▉▉▉▉▉▉▉▉▉▉▉▉▉▉▉▉▉▉▉▉▉▉▉▉▉▉ 0.59
9 ▉▉▉▉▉▉▉▉▎ 0.10
Model : Tensor Int64 [1] [ 8]
Ground Truth : Tensor Int64 [1] [ 9]
--%:
. %
%:
** .%
*%%.
%%*%
%* %
% %
% %:
%%%:
Entropy 1.0862491
0 ▏ 0.00
1 ▉▉▋ 0.03
2 ▉▉▉▉▉ 0.05
3 ▏ 0.00
4 ▏ 0.00
5 ▋ 0.01
6 ▉▉▉▉▉▉▉▉▉▉▉▉▉▉▉▉▉▉▉▉▉▉▉▉▉▉▉▉▉▉▉▉▉▉▉▉▉▉▉▉▉▉▎ 0.42
7 ▏ 0.00
8 ▉▉▉▉▉▉▉▉▉▉▉▉▉▉▉▉▉▉▉▉▉▉▉▉▉▉▉▉▉▉▉▉▉▉▉▉▉▉▉▉▉▉▉▉▉▉▉▉▉▉ 0.50
9 ▏ 0.00
Model : Tensor Int64 [1] [ 8]
Ground Truth : Tensor Int64 [1] [ 8]
%%
%%
*%#
:%%-
.%%
%%+
+%%
*%+
=%=
=:
Entropy 1.0085171
0 ▏ 0.00
1 ▉▉▉▉▉▉▉▉▉▉▉▉▉▉▉▉▉▉▉▉▉▉▉▉▉▉▉▉▉▉▉▉▉▉▉▉▉▉▉▉▉▉▉▉▉▉▉▉▉▉ 0.81
2 ▎ 0.00
3 ▍ 0.01
4 ▎ 0.00
5 ▏ 0.00
6 ▏ 0.00
7 ▉▉▉▉▉▉▉▉▉▉▏ 0.16
8 ▎ 0.01
9 ▍ 0.01
Model : Tensor Int64 [1] [ 1]
Ground Truth : Tensor Int64 [1] [ 1]
-@@:
-# +:
#- %
%: ..-
+%=*%
.%%
%*
%%
%%
%.
Entropy 1.5438546
0 ▏ 0.00
1 ▏ 0.00
2 ▉▉▉▉ 0.03
3 ▉▉▉▉▉▉▉▉▉▉▉▉▉▉▉▉▎ 0.14
4 ▉▉▉▉▉▊ 0.05
5 ▊ 0.01
6 ▏ 0.00
7 ▉▉▉▉▊ 0.04
8 ▉▉▉▉▉▉▉▉▉▉▉▉▉▉▉▉▉▉▉▉▉▉▉▉▉▉▉▉▉▉▉▉▉▉▉▉▎ 0.31
9 ▉▉▉▉▉▉▉▉▉▉▉▉▉▉▉▉▉▉▉▉▉▉▉▉▉▉▉▉▉▉▉▉▉▉▉▉▉▉▉▉▉▉▉▉▉▉▉▉▉▉ 0.42
Model : Tensor Int64 [1] [ 9]
Ground Truth : Tensor Int64 [1] [ 9]
Reflecting on softmax outputs above we can state that
- Softmax output alone is not enough to estimate the model uncertainty. We can observe wrong predictions even when the margin between the top and second-best guess is large.
- Sometimes prediction and ground truth coincide. So why the entropy is high? We actually need to inspect such cases in more details. The first point is well illustrated by this example:
%-
:%
#
-%#%*
:: @%.
* % #.
%% %
%
%
Entropy 1.1518966
0 ▉▉▉▎ 0.06
1 ▍ 0.01
2 ▊ 0.01
3 ▏ 0.00
4 ▉▉▊ 0.05
5 ▏ 0.00
6 ▏ 0.00
7 ▏ 0.00
8 ▍ 0.01
9 ▉▉▉▉▉▉▉▉▉▉▉▉▉▉▉▉▉▉▉▉▉▉▉▉▉▉▉▉▉▉▉▉▉▉▉▉▉▉▉▉▉▉▉▉▉▉▉▉▉▉ 0.86
Model : Tensor Int64 [1] [ 9]
Ground Truth : Tensor Int64 [1] [ 2]
To illustrate the last point, let us take a closer look at cases with high entropy. By running several realizations of the stochatic model, we can verify if the model has any "doubt" by selecting different answers.
displayImage' :: MLP -> (Tensor, Tensor) -> IO ()
displayImage' model (testImg, testLabel) = do
let repeatN = 10
pred' <- forM [1..repeatN] $ \_ -> exp -- logSoftmax -> softMax
<$> mlp model True testImg
pred0 <- mlp model False testImg
let entropy = predictiveEntropy $ Torch.cat (Dim 0) pred'
V.dispImage testImg
putStr "Entropy "
print entropy
forM_ pred' ( \pred ->
putStrLn ""
>> bar (map show [0..9]) (asValue $ flattenAll pred :: [Float]) )
putStrLn $ "Model : " ++ (show. argmax (Dim 1) RemoveDim. exp $ pred0)
putStrLn $ "Ground Truth : " ++ show testLabel
The first example from above (dataset index 11) gives this:
(displayImage' (fromLocalModel net) <=< getItem testMnistStream) 11
+%
%
*
#- +%%=
% %% %
% %+ #
% % *
% % :%
#*:=%#
-%=.
Entropy 1.1085687
0 ▎ 0.00
1 ▏ 0.00
2 ▏ 0.00
3 ▏ 0.00
4 ▏ 0.00
5 ▏ 0.00
6 ▉▉▉▉▉▉▉▉▉▉▉▉▉▉▉▉▉▉▉▉▉▉▉▉▉▉▉▉▉▉▉▉▉▉▉▉▉▉▉▉▉▉▉▉▉▉▉▉▉▉ 0.90
7 ▏ 0.00
8 ▉▉▉▉▉▍ 0.10
9 ▏ 0.00
0 ▋ 0.01
1 ▏ 0.00
2 ▎ 0.00
3 ▏ 0.00
4 ▋ 0.01
5 ▎ 0.00
6 ▉▉▉▉▉▉▉▉▉▉▉▉▉▉▉▉▉▉▉▉▉▉▉▉▉▉▉▉▉▉▉▉▉▉▉▉▉▉▉▉▉▉▉▉▉▉▉▉▉▉ 0.74
7 ▏ 0.00
8 ▉▉▉▉▉▉▉▉▉▉▉▉▉▍ 0.20
9 ▉▉▋ 0.04
0 ▋ 0.01
1 ▏ 0.00
2 ▏ 0.00
3 ▎ 0.01
4 ▉▉▉▏ 0.05
5 ▏ 0.00
6 ▉▉▎ 0.04
7 ▏ 0.00
8 ▉▉▉▉▉▉▉▉▉▉▉▉▉▉▉▉▉▉▉▉▉▉▉▉▉▉▉▉▉▉▉▉▉▉▉▉▉▉▉▉▉▉▉▉▉▉▉▉▉▉ 0.86
9 ▉▎ 0.02
0 ▋ 0.01
1 ▏ 0.00
2 ▎ 0.00
3 ▏ 0.00
4 ▋ 0.01
5 ▎ 0.00
6 ▉▉▉▉▉▉▉▉▉▉▉▉▉▉▉▉▉▉▉▉▉▉▉▉▉▉▉▉▉▉▉▉▉▉▉▉▉▉▉▉▉▉▉▉▉▉▉▉▉▉ 0.74
7 ▏ 0.00
8 ▉▉▉▉▉▉▉▉▉▉▉▉▉▍ 0.20
9 ▉▉▋ 0.04
0 ▉▉▉▉▍ 0.04
1 ▏ 0.00
2 ▎ 0.00
3 ▏ 0.00
4 ▉▉▉▉▉▉▉▉▉▉▏ 0.09
5 ▉▏ 0.01
6 ▉▉▉▉▉▉▉▉▉▉▉▉▉▉▉▉▉▉▉▉▉▉▉▉▉▉▉▉▉▉▉▉▉▉▋ 0.30
7 ▏ 0.00
8 ▉▉▉▉▉▉▉▉▉▉▉▉▉▉▍ 0.12
9 ▉▉▉▉▉▉▉▉▉▉▉▉▉▉▉▉▉▉▉▉▉▉▉▉▉▉▉▉▉▉▉▉▉▉▉▉▉▉▉▉▉▉▉▉▉▉▉▉▉▉ 0.43
0 ▋ 0.01
1 ▏ 0.00
2 ▎ 0.00
3 ▏ 0.00
4 ▋ 0.01
5 ▎ 0.00
6 ▉▉▉▉▉▉▉▉▉▉▉▉▉▉▉▉▉▉▉▉▉▉▉▉▉▉▉▉▉▉▉▉▉▉▉▉▉▉▉▉▉▉▉▉▉▉▉▉▉▉ 0.74
7 ▏ 0.00
8 ▉▉▉▉▉▉▉▉▉▉▉▉▉▍ 0.20
9 ▉▉▋ 0.04
0 ▋ 0.01
1 ▏ 0.00
2 ▎ 0.00
3 ▏ 0.00
4 ▋ 0.01
5 ▎ 0.00
6 ▉▉▉▉▉▉▉▉▉▉▉▉▉▉▉▉▉▉▉▉▉▉▉▉▉▉▉▉▉▉▉▉▉▉▉▉▉▉▉▉▉▉▉▉▉▉▉▉▉▉ 0.74
7 ▏ 0.00
8 ▉▉▉▉▉▉▉▉▉▉▉▉▉▍ 0.20
9 ▉▉▋ 0.04
0 ▋ 0.01
1 ▏ 0.00
2 ▎ 0.00
3 ▏ 0.00
4 ▋ 0.01
5 ▎ 0.00
6 ▉▉▉▉▉▉▉▉▉▉▉▉▉▉▉▉▉▉▉▉▉▉▉▉▉▉▉▉▉▉▉▉▉▉▉▉▉▉▉▉▉▉▉▉▉▉▉▉▉▉ 0.74
7 ▏ 0.00
8 ▉▉▉▉▉▉▉▉▉▉▉▉▉▍ 0.20
9 ▉▉▋ 0.04
0 ▉▏ 0.02
1 ▏ 0.00
2 ▎ 0.00
3 ▏ 0.00
4 ▋ 0.01
5 ▏ 0.00
6 ▉▉▉▉▉▉▉▉▉▉▉▉▉▉▉▉▉▉▉▉▉▉▉▉▉▉▉▉▉▉▉▉▉▉▉▉▉▉▉▉▉▉▉▉▉▉▉▉▉▉ 0.80
7 ▏ 0.00
8 ▉▉▉▉▉▉▋ 0.10
9 ▉▉▉▉▎ 0.07
0 ▉▉▉▉▍ 0.04
1 ▏ 0.00
2 ▎ 0.00
3 ▏ 0.00
4 ▉▉▉▉▉▉▉▉▉▉▏ 0.09
5 ▉▏ 0.01
6 ▉▉▉▉▉▉▉▉▉▉▉▉▉▉▉▉▉▉▉▉▉▉▉▉▉▉▉▉▉▉▉▉▉▉▋ 0.30
7 ▏ 0.00
8 ▉▉▉▉▉▉▉▉▉▉▉▉▉▉▍ 0.12
9 ▉▉▉▉▉▉▉▉▉▉▉▉▉▉▉▉▉▉▉▉▉▉▉▉▉▉▉▉▉▉▉▉▉▉▉▉▉▉▉▉▉▉▉▉▉▉▉▉▉▉ 0.43
Model : Tensor Int64 [1] [ 6]
Ground Truth : Tensor Int64 [1] [ 6]
Wow! The model sometimes "sees" digit 6, sometimes digit 8, and sometimes digit 9! For the contrast, here is how predictions with low entropy typically look like.
(displayImage' (fromLocalModel net) <=< getItem testMnistStream) 0
#%%*****
::: %
%:
:%
#:
:%
%.
#=
:%.
=#
Entropy 4.8037423e-4
0 ▏ 0.00
1 ▏ 0.00
2 ▏ 0.00
3 ▏ 0.00
4 ▏ 0.00
5 ▏ 0.00
6 ▏ 0.00
7 ▉▉▉▉▉▉▉▉▉▉▉▉▉▉▉▉▉▉▉▉▉▉▉▉▉▉▉▉▉▉▉▉▉▉▉▉▉▉▉▉▉▉▉▉▉▉▉▉▉▉ 1.00
8 ▏ 0.00
9 ▏ 0.00
0 ▏ 0.00
1 ▏ 0.00
2 ▏ 0.00
3 ▏ 0.00
4 ▏ 0.00
5 ▏ 0.00
6 ▏ 0.00
7 ▉▉▉▉▉▉▉▉▉▉▉▉▉▉▉▉▉▉▉▉▉▉▉▉▉▉▉▉▉▉▉▉▉▉▉▉▉▉▉▉▉▉▉▉▉▉▉▉▉▉ 1.00
8 ▏ 0.00
9 ▏ 0.00
0 ▏ 0.00
1 ▏ 0.00
2 ▏ 0.00
3 ▏ 0.00
4 ▏ 0.00
5 ▏ 0.00
6 ▏ 0.00
7 ▉▉▉▉▉▉▉▉▉▉▉▉▉▉▉▉▉▉▉▉▉▉▉▉▉▉▉▉▉▉▉▉▉▉▉▉▉▉▉▉▉▉▉▉▉▉▉▉▉▉ 1.00
8 ▏ 0.00
9 ▏ 0.00
0 ▏ 0.00
1 ▏ 0.00
2 ▏ 0.00
3 ▏ 0.00
4 ▏ 0.00
5 ▏ 0.00
6 ▏ 0.00
7 ▉▉▉▉▉▉▉▉▉▉▉▉▉▉▉▉▉▉▉▉▉▉▉▉▉▉▉▉▉▉▉▉▉▉▉▉▉▉▉▉▉▉▉▉▉▉▉▉▉▉ 1.00
8 ▏ 0.00
9 ▏ 0.00
0 ▏ 0.00
1 ▏ 0.00
2 ▏ 0.00
3 ▏ 0.00
4 ▏ 0.00
5 ▏ 0.00
6 ▏ 0.00
7 ▉▉▉▉▉▉▉▉▉▉▉▉▉▉▉▉▉▉▉▉▉▉▉▉▉▉▉▉▉▉▉▉▉▉▉▉▉▉▉▉▉▉▉▉▉▉▉▉▉▉ 1.00
8 ▏ 0.00
9 ▏ 0.00
0 ▏ 0.00
1 ▏ 0.00
2 ▏ 0.00
3 ▏ 0.00
4 ▏ 0.00
5 ▏ 0.00
6 ▏ 0.00
7 ▉▉▉▉▉▉▉▉▉▉▉▉▉▉▉▉▉▉▉▉▉▉▉▉▉▉▉▉▉▉▉▉▉▉▉▉▉▉▉▉▉▉▉▉▉▉▉▉▉▉ 1.00
8 ▏ 0.00
9 ▏ 0.00
0 ▏ 0.00
1 ▏ 0.00
2 ▏ 0.00
3 ▏ 0.00
4 ▏ 0.00
5 ▏ 0.00
6 ▏ 0.00
7 ▉▉▉▉▉▉▉▉▉▉▉▉▉▉▉▉▉▉▉▉▉▉▉▉▉▉▉▉▉▉▉▉▉▉▉▉▉▉▉▉▉▉▉▉▉▉▉▉▉▉ 1.00
8 ▏ 0.00
9 ▏ 0.00
0 ▏ 0.00
1 ▏ 0.00
2 ▏ 0.00
3 ▏ 0.00
4 ▏ 0.00
5 ▏ 0.00
6 ▏ 0.00
7 ▉▉▉▉▉▉▉▉▉▉▉▉▉▉▉▉▉▉▉▉▉▉▉▉▉▉▉▉▉▉▉▉▉▉▉▉▉▉▉▉▉▉▉▉▉▉▉▉▉▉ 1.00
8 ▏ 0.00
9 ▏ 0.00
0 ▏ 0.00
1 ▏ 0.00
2 ▏ 0.00
3 ▏ 0.00
4 ▏ 0.00
5 ▏ 0.00
6 ▏ 0.00
7 ▉▉▉▉▉▉▉▉▉▉▉▉▉▉▉▉▉▉▉▉▉▉▉▉▉▉▉▉▉▉▉▉▉▉▉▉▉▉▉▉▉▉▉▉▉▉▉▉▉▉ 1.00
8 ▏ 0.00
9 ▏ 0.00
0 ▏ 0.00
1 ▏ 0.00
2 ▏ 0.00
3 ▏ 0.00
4 ▏ 0.00
5 ▏ 0.00
6 ▏ 0.00
7 ▉▉▉▉▉▉▉▉▉▉▉▉▉▉▉▉▉▉▉▉▉▉▉▉▉▉▉▉▉▉▉▉▉▉▉▉▉▉▉▉▉▉▉▉▉▉▉▉▉▉ 1.00
8 ▏ 0.00
9 ▏ 0.00
Model : Tensor Int64 [1] [ 7]
Ground Truth : Tensor Int64 [1] [ 7]
The model always "sees" digit 7. That is why the predictive entropy is low. Note that the results are model-dependent. Therefore we also share the weights for reproducibility. However, every realization of the stochastic model might still be different, especially in those cases where the entropy is high.
Find the complete project on Github. For suggestions about the content feel free to open a new issue.
Summary
I hope you are now convinced that model's uncertainty estimation is an invaluable tool. This simple technique is essential when applying deep learning for real-life decision making. This post also develops on how to use Hasktorch library in practice. Notably, it is very straightforward to run computations on a GPU. Overall, Hasktorch can be used for real-world deep learning. The code is well-structured and relies on a mature Torch library. On the other hand, it would be desirable to capture high-level patterns so that the user does not need to think about low-level concepts such as dependent and independent tensors, for example. The end user should be able to simply apply save net "weights.bin" and mynet <- load "weights.bin" without any indirections. The same reasoning applies to the trainLoop, i.e. the user does not need to reinvent it every time. Eventually, a higher-level package on top of Hasktorch should capture the best practices, similar to PyTorch Lightning or fast.ai.
Now your turn: explore image recognition with AlexNet convolutional network and have fun!
Edit 27/04/2022: The original version from 23/04 did not correctly handle optimizer's internal state. Therefore, train and trainLoop were fixed. You will find the updated notebook on Github.
Learn More
- Improving neural networks by preventing co-adaptation of feature detectors https://arxiv.org/pdf/1207.0580.pdf
- Dropout: A Simple Way to Prevent Neural Networks from Overfitting https://www.jmlr.org/papers/volume15/srivastava14a/srivastava14a.pdf
- Tutorial: Dropout as Regularization and Bayesian Approximation https://xuwd11.github.io/Dropout_Tutorial_in_PyTorch/
- Two Simple Ways To Measure Your Model’s Uncertainty https://towardsdatascience.com/2-easy-ways-to-measure-your-image-classification-models-uncertainty-1c489fefaec8
- Uncertainty in Deep Learning, Yarin Gal http://mlg.eng.cam.ac.uk/yarin/thesis/thesis.pdf
- AlexNet example in Hasktorch https://github.com/hasktorch/hasktorch/tree/master/examples/alexNet
